
“刘世彦同学展现了勇于挺身而出、无私奉献、敢于担当的大爱精神,这种精神值得我们由衷地学习和称赞!”近日,甘肃医学院临床医学系党总支书记李宝成收到一份来自兰州客运段K4238次列车长孟婉清的感谢信,她在信中代表全体列车工作人员,向刘世彦同学表达最诚挚的感谢,向甘肃医学院致以衷心的感谢和崇高的敬意!
“要不是这份感谢信,刘世彦同学火车上救人的先进事迹我们都不知道,而且在这之前,他也没有给老师、同学们说起过。”李宝成表示,刘世彦同学能够在紧急时刻挺身而出,结合所学知识,经过治疗最终让患者病情稳定,展现出良好的心理素质、医学技能和一名医学生的担当精神,值得我们大力宣传、好好学习。

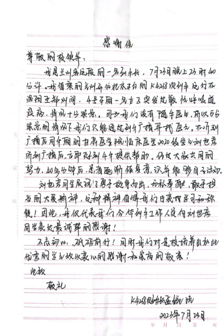
兰州客运段K4238次列车长孟婉清发来的感谢信
今年7月23日晚上23:40许,兰州开往北京丰台的K4328次列车运行在洛阳至郑州间,4号车厢一名女子突发过敏性呼吸道疾病,情况十分危机。“我们没有随车医生,只能通过列车广播寻找医生。”孟婉清说。在听到广播后,同车的甘肃医学院临床医学系2020级学生刘世彦当即翻身下床,以最快速度穿越九个车厢到达事发车厢帮忙。“见到病人后,发现患者精神已经出现恍惚,语言不连贯,口唇出现发绀同时伴随着呼吸急促和咳嗽等呼吸系统症状。”刘世彦回忆起当时的情况依然记忆犹新,“正好上半年结束的内科1课程教学中第一部分就是呼吸系统疾病,我立刻向一旁的列车长询问有没有听诊器等诊疗仪器,同时先通过桡动脉大致测量了患者的心率,列车长也向我描述了患者的基本情况。”经过了解,患者21岁,早上独自乘坐昆明飞往芝加哥的航班,途中便有过一次发病,在机上一名老中医的穴位按压下飞机紧急迫降至西安机场,此时患者症状缓解,便觉得身体没什么大碍,于是打算乘火车先到北京,再订机票飞往目的地,途中再次发病。

救治场景(视频截图)
随后将患者转移至人少、通风环境好一些的餐车。在一名陆军总院护师老师指导下,刘世彦同学按摩患者手脚穴位并通过聊天安慰使其放松,经过一个多小时的支持性治疗后患者手脚不再冰凉,且口唇面色明显红润,观察一段时间患者情况基本稳定后,刘世彦同学和其他人回到了各自的车厢。
今年暑假,刘世彦同学和家人踏上开往北京的列车,“我一直有个梦想,希望有一天能在天安门看一次升国旗,途中恰巧遇上这种突发事情,换做是别人,我想肯定也会出手相助。”在刘世彦同学看来,这是一件再平常不过的事情。

刘世彦同学近照



“刘世彦同学学习认真,兴趣广泛。自入校以来所有课程均无挂科,并将绩点保持在3.0左右。以超出合格线近百分的成绩通过英语四级考试。课余生活丰富,不仅参加过合唱表演还取得省二等奖的名次,也曾利用课余时间在校外艺术机构兼职钢琴老师。积极参与科研,大三时在RCCSE核心期刊发表了他人生中第一篇论文。”刘世彦同学的班主任高维仁介绍说,他多次参加各类创新创业比赛,设计的课题在今年举行的大学生创新创业训练计划项目种获得国家级立项,并在第十四届“挑战杯”甘肃省大学生课外学术科技作品竞赛获得一等奖的优异成绩。在较好地完成自身学习任务以外积极参与班级管理,被评为学校优秀共青团干部。
李宝成表示,临床医学系在广大医学生中大力培育和践行社会主义核心价值观,全面深化“三全育人”教育教学改革,实施“五育并举”行动计划,培养出了一批德才兼备的基层医疗卫生人才。
养德崇医、见贤思齐。近年来,甘肃医学院认真落实立德树人根本任务,着力培养医德高尚、基础厚实、技术过硬、服务基层的高素质应用型医药卫生人才,毕业生深受用人单位好评,社会声誉稳步提升。仅列车上救人的事从来没有间断过,助人为乐的善举被传为佳话:2021年3月4日,临床医学系2001班李虎同学在火车上救人,彰显了医者仁心,大爱无疆的精神;2023年4月8日,中医药系2019级针灸推拿专业康彦武同学在火车上救人,引起同行乘客和微信朋友圈网友点赞;2023年9月15日,康复治疗学2020级学生朱军同学在火车上救人,他的感人事迹先后有十多家国家和省市媒体宣传报道,引起极大反响。
(图片由临床医学系提供)
文字:陈 斌、王丽辉
审核:韩小林